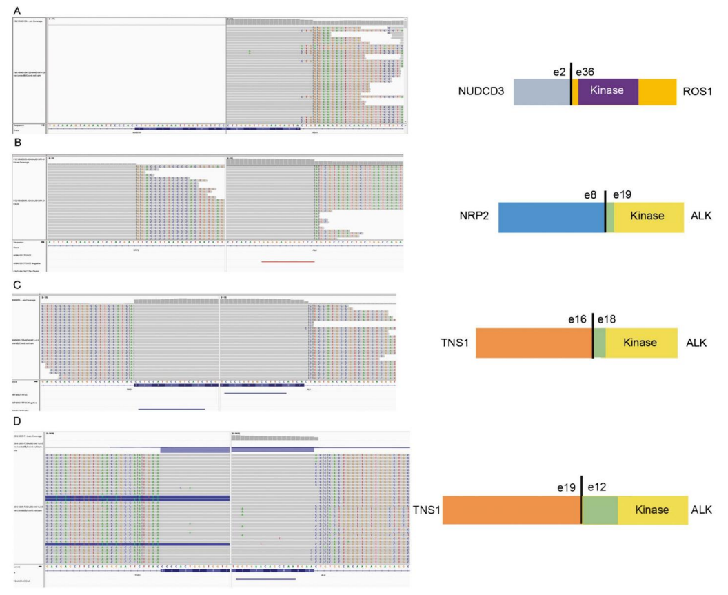
导语 炎性肌纤维⺟细胞瘤(IMT)是一种罕见的间叶源性肿瘤,通常表现为惰性生物学行为,但部分病例表现为多次复发和转移的恶性行为。该肿瘤常见于⼉童青少年的肺和腹腔,⼦宫IMT罕见,且与子宫好发的平滑肌肿瘤以及⼦宫内膜间质肿瘤形态学和免疫表型重叠,诊断困难。十余年前,本文作者在临床中遇到了误诊为平滑肌肿瘤的子宫IMT,患者在多次复发后,经作者会诊纠正为IMT。 ALK基因融合是IMT最常见的基因异常,可作为诊断的依据和治疗的靶点。除此之外,IMT还存在其他类型的酪氨酸激酶融合以及未被识别的新的基因异常,常规病理学手段在识别这些复杂基因突变时具有局限性,NGS为精准识别该类基因融合提供了有效的检测手段,这有助于IMT的鉴别诊断,也将为患者带来靶向治疗获益的可能。 近日,复旦大学附属中山医院病理科侯英勇教授团队与世和基因合作,采用世和一号®大Panel对4例诊断困难的样本进行NGS检测。4例患者初诊为平滑肌肿瘤,NGS检测发现均存在酪氨酸激酶基因融合,经病理会诊结合NGS结果进行再次诊断,纠正为子宫IMT。研究首次检测到新型NUDCD3-ROS1和NRP2-ALK融合,进一步扩展了IMT的酪氨酸激酶基因融合分子图谱,并有助于筛选潜在靶向治疗获益的此类患者。相关研究成果发表于Virchows Archiv (IF=4.535)。本文第一作者为张荔莉医生、栾丽娟医生,侯英勇教授、徐晨教授为共同通讯作者。 专家简介 侯英勇 教授 复旦大学附属中山医院 病理科主任、教授、博士生导师 复旦大学附属中山医院病理科主任、教授、博士生导师、病理基地主任、病理专科基地主任、博士后流动站 建立12项指标的胃肠道间质瘤良恶性、分期分级方法并推广 首次提出胃癌HER2免疫组化双蜡块以及全蜡块检测的临床意义并推广 发明高产组织芯片和高产细胞芯片制作方法 全国卫生产业企业管理协会实验医学专家委员会病理专业委员会主任委员 发表文章100余篇,其中以第一作者和通讯作者发表SCI文章40余篇,主编 《胃肠道间质瘤》 专著一部、主译《癌症分子检测》、 副主编专著两部、参编专著两部 获国家自然基金1项、上海市科委基金7项、上海市重要薄弱学科基金1项、上海市临床重点专科振龙头项目、转化专利9项 徐晨 教授 复旦大学附属中山医院病理科副主任医师 美国国立卫生研究院(NIH)访问学者 中华医学会消化内镜学会病理协作组委员 CACA肿瘤病理专业委员会胃肠间质瘤协作组秘书 CACA第六届肿瘤病理专委会青年委员会委员 第二届全国卫生产业企业管理协会试验医学专家委员会病理专委会常务委员 中国研究型医院学会分子诊断医学专业委员会青年委员会副主任委员 中国抗癌协会胃癌专委会基础与病理学组委员 中国研究型医院学会超微与分子病理专业委员会委员 上海市医学会分子诊断专科分会第一届委员会肿瘤学组成员 研究内容 子宫炎性肌纤维母细胞瘤的临床病理学特征及突变特征 本研究纳入4例子宫IMT肿瘤,主要临床病理学参数及突变特征见表1。 组织学:3例患者原发肿瘤位于⼦宫体。病例1、病例2和病例4的肿瘤细胞呈纺锤形,胞质嗜酸性,细胞核伸⻓,呈束状排列,有轻度⾄中度核异型。病例3呈中度⾄重度核异型,多核和奇异细胞。 免疫组化:4例病例均显⽰平滑肌标记物(SMA 和结蛋⽩)强烈和弥散IHC染⾊(a-SMA、结蛋⽩)。CD10在病例1中呈阳性,在病例3和4中呈部分阳性,在病例2中呈阴性。这些IHC和组织学特征是导致与平滑肌肿瘤鉴别诊断困难的主要原因。 ALK免疫组化:病例2、3 和4中,ALK融合呈阳性,⽽在病例1中呈阴性。 FISH:病例2、3 和4中ALK融合均呈阳性,病例1中ROS1呈阳性。 NGS:所有患者均检测到酪氨酸激酶基因融合(图1),病例1和2分别检测到新型NUDCD3-ROS1和NRP2-ALK融合,另外两个病例中检测到TNS1-ALK融合。 最终诊断:这四例均为IMT。 表1. 子宫炎性肌纤维母细胞瘤临床病理学特征 注:DOD因疾病死亡;AWD带病生存;Inf渗透;Mi轻度;Mo中度;Se重度 图1 . NGS测序融合结果(NUDCD3: exon2-ROS1: exon36融合(病例1;A)、NRP2: exon8-ALK: exon19融合(病例2;B)、TNS1: exon16-ALK: exon18融合(病例3;C)、TNS1: exon19-ALK:exon12融合(病例4;D) 细胞周期和p53信号通路相关基因变异,可能与不良预后有关 以往报道的子宫IMT,多数表现为惰性,而本研究中4例患者均表现为侵袭性。为了更好地了解其肿瘤发生发展的潜在机制,本研究对4位患者的突变情况【其中包括病例1和4克唑替尼(RC)用药前后的样本】进行分析,如图2A所示,4例均发现细胞周期和p53信号通路相关基因变异(TP53、MYC、MDM2、CDK4、CDKN2A)。在病例1中发现了TP53热点突变(p.E258K)和MYC拷⻉数增加。然⽽,携带 ROS1融合并伴有TP53突变或MYC过表达的患者可能对酪氨酸激酶抑制剂 (TKI) 存在耐药性[1-2]。此外,病例4中克唑替尼治疗失败可能与MDM2扩增有关[3]。为了解突变的⽣物学重要性,本研究对4名患者的突变基因进⾏KEGG通路分析发现,参与IMT的⼏种富集通路包括 PI3K-Akt信号通路、MAPK信号通路和RAS信号通路,如图2B所⽰。 图2. 4例患者突变图谱【原发肿瘤(PT)、复发(R)和克唑替尼(RC)后复发】(A);4例患者突变基因KEGG通路分析(B) 结语 本研究中的4例患者,均在初诊时疑似平滑肌肿瘤,难以确诊,通过NGS技术检测出ALK或ROS1基因融合,同时发现新型NUDCD3-ROS1和NRP2-ALK融合,并结合临床会诊最终诊断为子宫炎性肌纤维母细胞瘤,且找到可⽤于靶向治疗的基因重排。本研究证实,对于罕见肿瘤实体,在常规临床实践中通过NGS检测,结合临床和分子层面特征综合分析,有助于鉴别诊断,并找到可能⽤于靶向治疗的新型基因融合。 参考文献 1. Li Z, Shen L, Ding D et al (2018) Efcacy of crizotinib among diferent types of ROS1 fusion partners in patients with ROS1-rearranged non-small cell lung cancer. J Thorac Oncol 13:987– 995. 2. Iyer SR, Odintsov I, Schoenfeld AJ et al (2022) MYC promotes tyrosine kinase inhibitor resistance in ROS1-fusion-positive lung cancer. Mol Cancer Res 20:722–734. 3. Dietz S, Christopoulos P, Gu L et al (2019) Serial liquid biopsies for detection of treatment failure and profling of resistance mechanisms in KLC1-ALK-rearranged lung cancer. Cold Spring Harb Mol Case Stud 5(6):a004630. 作者:DoubleQQ 审核:枫叶 排版:Moro




相关阅读