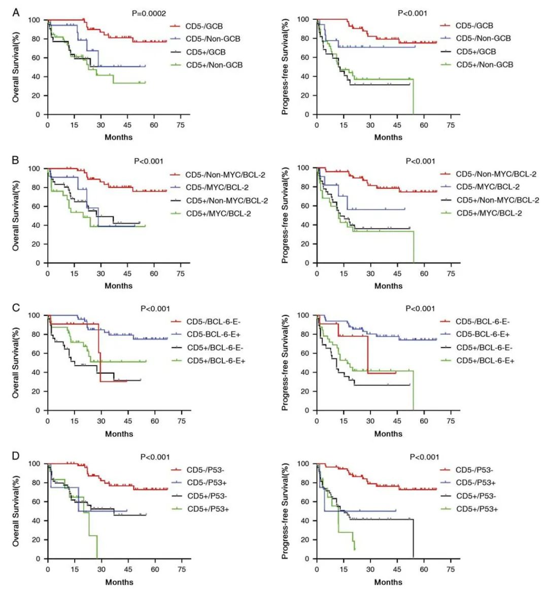
导语 弥漫性大B细胞淋巴瘤(DLBCL)是一组具有高度侵袭性和异质性的非霍奇金淋巴瘤(NHL)。CD5阳性(CD5+)DLBCL是DLBCL的独立亚组,占DLBCL的5%-10%,表现出侵袭性的临床过程,在以利妥昔单抗为基础的免疫化疗时代,患者5年总生存率(OS)仅为40%[1]。探索CD5+ DLBCL的临床病理和分子特征将有助于更加精准地预后分层,指导临床个体化治疗。 徐州医科大学附属医院桑威教授团队与世和基因合作,采用世和血默胜™大Panel检测,分析CD5+ DLBCL和CD5- DLBCL的基因突变特征与遗传分型,结合临床病理指导精准预后分层。该研究成果已发表于American Journal of Surgical Pathology(IF=6.298)。 专家简介 桑威 教授 徐州医科大学附属医院 医学博士、副教授、副主任医师、硕士生导师 徐医附院细胞研究和转化医学中心副主任 徐医附院血液科科副主任,淋巴瘤病区主任 中华医学会血液学分会淋巴细胞疾病学组委员 中国抗癌协会淋巴瘤专委会委员 中国EBV相关疾病工作组秘书长 中国抗癌协会血液肿瘤专业委员会青年委员 中国抗癌协会血液肿瘤委员会慢淋工作组委员 中国抗癌协会第一届T细胞淋巴瘤工作组委员 中国老年医学会血液学分会淋巴瘤学组委员 江苏省淋巴瘤联盟副主席 江苏省医学会血液学分会淋巴瘤/骨髓瘤学组委员 江苏省“六大人才高峰”培养对象 江苏省“科教强卫工程”青年医学人才 研究亮点 1、结合临床与NGS测序,探究了CD5+ DLBCL这一少见淋巴瘤类型的临床病理与基因组特征; 2、基于COO分型和遗传亚型分析揭示了CD5+ DLBCL富集ABC型和MCD亚型,可能提示CD5+ DLBCL对BTK抑制剂敏感; 3、更精细化的分子分型可能为CD5+ DLBCL提供一个精确的风险分层系统。 研究内容 该研究回顾性纳入了61例CD5+ DLBCL和60例CD5- DLBCL患者,对比分析了细胞形态、病理特征、常见临床预后标志物的表达差异以及细胞起源(COO)分型。同时对47例患者(24例CD5+ DLBCL,23例CD5- DLBCL)的组织样本进行世和血默胜™大Panel检测,分析突变图谱及遗传亚型,结合MYC/BCL-2、BCL-6、p53分子生物标志物探究精准的预后分层。 研究结果 CD5+ DLBCL具有独特的临床和病理特征 61名CD5+ DLBCL患者和60名CD5- DLBCL患者被纳入分析。与CD5- DLBCL患者相比,年龄较大、晚期(III/IV)、低蛋白血症、中枢神经系统受累的发生率较高,以及国际预后指数(IPI)评分较高等临床特征在CD5+ DLBCL中明显更普遍(p<0.05)。细胞形态学与病理特征分析发现,CD5+ DLBCL和CD5- DLBCL无法通过形态学区分,但是MYC表达、MYC和BCL-2共同表达、p53表达水平在CD5+ DLBCL中相对更常见。相反,BCL-6表达水平在CD5- DLBCL中更常见(表1)。 表1. 入组患者临床病理学特征 采用免疫组化(IHC)和基因表达进行COO分型分析,CD5+ DLBCL中non-GCB/ABC亚型占比更高 DLBCL的细胞起源(COO)分型主要基于基因表达差异,将DLBCL分为生发中心B细胞样亚型(GCB亚型)、活化B细胞样亚型(ABC亚型)以及无法分类的第三种类型。目前临床采用替代的IHC算法进行COO分型,最常用的是Hans分类,可以分为GCB型和non-GCB型,是临床中广泛认可的预后模型。本研究分别采用IHC和基因表达2种方式对CD5+ DLBCL和CD5- DLBCL进行COO分型分析,IHC分型结果中non-GCB型的比例在CD5+ DLBCL队列中明显高于CD5- DLBCL队列(63.9% vs. 30.0%,p<0.001);使用Lymph2Cx检测法对55份DLBCL样本进行COO分型,ABC亚型在CD5+ DLBCL中比CD5- DLBCL中更常见(63.0% vs 35.7%,p=0.043)(图1)。 图1. Lymph2Cx基因表达检测(NanoString)分析CD5+ DLBCL和CD5- DLBCL的COO分型 NGS检测揭示CD5+ DLBCL和CD5− DLBCL之间基因突变特征与遗传亚型的差异 本研究对24例CD5+ DLBCL样本和23例CD5- DLBCL样本进行逾400个血液淋巴系统肿瘤相关基因的靶向NGS测序分析,突变特征分析,发现CDKN2A缺失和MYD88、PIM1和KMT2D突变在CD5+ DLBCL样本中显著富集,DUSP2、TET2突变和BCL6基因融合在CD5- DLBCL样本中显著富集(p<0.05,图2)。 图2. CD5+和CD5− DLBCL基因突变特征 根据Schmitz等人[2]建立的DLBCL基因亚型分析(四分型),与CD5− DLBCL相比,CD5+ DLBCL中MCD亚型的比例更高(54.2% vs.13.0%,p=0.005)(图3) 图3. CD5+ DLBCL和CD5− DLBCL遗传亚型分布 生存分析发现,COO分型、MYC/BCL-2、p53和BCL-6的表达对CD5+ DLBCL的预后没有影响 本研究评估了目前临床中常见的几项预后标志物(COO分型、MYC/BCL-2共表达、BCL6表达与p53表达)在CD5+ DLBCL中预后分层的意义。与CD5- DLBCL相比,COO分型(图4A)、MYC/BCL-2是否共表达(图4B)、BCL6(图4C)和p53(图4D)的表达状态对CD5+ DLBCL的OS和PFS都没有显著影响。 图4. CD5+ DLBCL和CD5- DLBCL中COO分型和常见淋巴生物标志物的预后意义 结语 新发CD5+ DLBCL是一类具有特异临床特征及复杂分子学改变的淋巴瘤。本研究应用世和基因血癌检测大Panel血默胜™,全面揭示了CD5+ DLBCL独特的基因组突变特征和遗传亚型,表现出与ABC亚型和MCD亚型相似的遗传特征,提示联合BTK抑制剂可能是精准治疗更优方案,未来更精细化的分子分型将为CD5+ DLBCL提供一个精确的风险分层系统。






相关阅读
强强联合:中山大学肿瘤中心和中山眼科中心首次报道房水ctDNA在诊断监测玻璃体视网膜淋巴瘤中的临床价值
IF超15分!眼内液ctDNA液体活检有效提高原发玻璃体视网膜淋巴瘤诊断率
世和学术丨Panel-TMB预测弥漫大B细胞淋巴瘤患者的总生存率
世和学术丨脑脊液ctDNA评估PCNSL淋巴瘤中HD-MTX联合伊布替尼有效性
世和学术 | NGS揭示中国人群T淋巴母细胞淋巴瘤分子特征并提示早期复发风险
参考文献
1、The American journal of surgical pathology, 2022, 46(11): 1533-1544.
2、New England Journal of Medicine, 2018, 378(15): 1396-1407.
作者:YW 审核:Martian 排版:Moro