
作为全球血液学领域最具影响力的国际学术盛会,第65届美国血液学会(ASH)年会于2023年12月9日-12日在圣迭戈盛大召开。来自全球100多个国家的数万名血液学专家学者及行业相关人士共同参与,分享过去一年血液学领域重磅研究和前沿进展。今年,世和基因与临床专家合作研究成果取得了2项口头报告和1项壁报的优异成绩。这3项研究重点围绕液体活检展开,探讨了ctDNA在淋巴瘤中的多种应用。
ctDNA辅助诊断中枢神经系统受累
ORAL号:188
Clinical Implications of CSF-ctDNA in CNS Involvement of Newly Diagnosed Diffuse Large B Cell Lymphoma: An Improvement of Diagnosis, Treatment and Evaluation
合作单位:
江苏省人民医院徐卫教授团队
研究内容:
研究回顾性地纳入了100例初诊弥漫性大B细胞淋巴瘤(DLBCL)作为训练队列,前瞻性地收集了26例初诊DLBCL作为验证队列,并同步纳入24例原发中枢神经系统淋巴瘤(PCNSL)进行对比。研究设计在治疗前、治疗后以及复发时采集组织、血浆、脑脊液,通过世和血默胜™大Panel进行NGS靶向测序,探究脑脊液ctDNA(CSF-ctDNA)在辅助诊断DLBCL早期中枢神经系统(CNS)受累中的应用。
图1. 研究方案设计图
研究结果:
1、 初诊DLBCL脑脊液ctDNA检出阳性率25%,比传统细胞学检测更敏感
训练队列中,100例DLBCL中有25例初诊为CSF-ctDNA阳性,其中仅3例脑脊液细胞学(CM)检出为阳性。随访发现,22例CSF-ctDNA阳性CM阴性的患者中有3例发生影像学中枢侵犯。75例CSF-ctDNA阴性的患者CM全部阴性。验证队列中检出比例相似。以上结果表明脑脊液ctDNA阳性可能提示DLBCL中枢受累的早期阶段,比传统脑脊液细胞学检测更灵敏。研究进一步探究影响脑脊液ctDNA定义下的早期中枢侵犯阳性(CNSi pos)患者的临床和生物学因素。
图2. 初诊DLBCL的脑脊液ctDNA和细胞学检出情况
2、不同于PCNSL,多种分子分型均能进展为CNSi pos
比较CSF-ctDNA阳性患者(继发中枢神经系统肿瘤早期)和PCNSL的LymphGen分子分型占比,结果发现,24例PCNSL中18例为MCD亚型(75%),而25例CNSi pos中11例为MCD亚型(44%)。进一步的突变特征差异分析表明,两组人群呈现不同的遗传特征,非MCD亚型的患者也可能发展为CNSi pos。
图3. CNSi pos和PCNSL患者分子分型(A)和突变特征(B)对比
3、新的临床与生物学因素和CNSi pos相关
多因素分析结果表明,基线血浆ctDNA浓度,脑脊液蛋白浓度和高危部位是CNSi pos的独立影响因素,基于这3个特征,研究构建了一个新的CNS受累风险模型(CNSi-IPI),其性能比CNS-IPI更好。根据CNSi-IPI模型,患者被分为低风险(0-1)、中风险(2)和高风险组(3)。在3个风险组的训练队列中,CNSi pos分别为5.0%、48.3%和72.7%,验证队列中分别为5.9%、50.0%和100.0%。
图4. 基于三项临床和生物学特征构建一个新的中枢受累风险模型
研究结论:
CSF-ctDNA是辅助初诊DLBCL早期CNS受累诊断的重要生物标志物,比传统的脑脊液细胞学和影像学灵敏度更高。此外基于CNSi pos的三个影响因素,研究构建了一个新的CNSi-IPI 风险预测模型,该模型比CNS-IPI预测性能更优。
ctDNA预测药物疗效及患者预后
ORAL号:736
A Prospective Multicenter Phase II Study of Orelabrutinib-Lenalidomide-Rituximab (OLR) in Patients with Untreated Mantle Cell Lymphoma (MCL) in China (POLARIS Study): Preliminary Analysis on Efficacy, Safety, Mutation Spectrum and Impact of Mutation Profiling on Treatment Responses
合作团队:
天津医科大学肿瘤医院张会来教授团队
研究内容:
这是一项前瞻性多中心II期研究,研究纳入了28例初治套细胞淋巴瘤(MCL)患者,中位年龄为60.0岁,89.3%为男性。所有患者均接受奥布替尼+来那度胺+利妥昔单抗(OLR)三药联合方案。研究分别采集患者治疗前的组织标本和外周血样本,通过世和血默胜™大Panel进行NGS靶向测序,探究组织和血浆ctDNA检出一致性,以及ctDNA对药物疗效的提示作用。
研究结果:
1、 OLR方案一线治疗MCL总体缓解率(ORR)为100%,毒性可控
28例患者中,21例(75%)完成6疗程的诱导治疗,其中16例(76.2%)达到CR,5例(23.8%)达到PR,ORR为100%。患者中位随访时间为11.0个月,中位缓解时间为3.0个月(2.8-3.4个月)。中位缓解持续时间(DOR)和中位无进展生存期(PFS)均未达到,12个月DOR率和PFS率分别为90.9%和92.3%。26例(92.9%)患者发生不良事件,其中最常见的不良反应分别为中性粒细胞减少症、白细胞减少症、血小板减少症、淋巴细胞减少症和新冠肺炎感染,未观察到患者死亡。
图1. OLR方案一线治疗MCL患者的疗效
2、 血浆ctDNA和组织突变具有75%一致性,ctDNA有可能提示患者缓解深度
23例患者的基线组织和血浆ctDNA进行了高通量测序,其中组织最常见的突变基因是ATM(48%)、KMT2D(43%)、CCND1(17%),血浆ctDNA为ATM(48%)、KMT2D(39%)、DNMT3A(17%)。组织和血浆ctDNA突变的一致性为75.4%,并且血浆ctDNA可以检出更多的基因突变。4例达到PR的患者中,1例血浆ctDNA检出BTK、TP53等多个基因突变,提示血浆ctDNA检出的这些基因突变可能与缓解深度有关。
图2. 基线组织和血浆ctDNA突变图谱
研究结论:
OLR三药联合方案具有协同抗肿瘤活性,对于初治MCL患者有效且毒性可控。通过NGS方法检测血浆ctDNA有助于预后评估。
Poster号:3086
High-Dose Methotrexate, Ibrutinib and Temozolomide (MIT) for the Treatment of Newly Diagnosed Primary Central Nervous System Lymphoma: A Multi-Center Prospective Phase II Study
合作团队:
中山大学肿瘤防治中心黄慧强教授团队
研究内容:
这是一项开放标签、多中心II期前瞻性临床研究,研究纳入了33名初治原发性中枢神经系统淋巴瘤(PCNSL)患者,中位年龄为56岁(27-75岁),其中17名男性。所有患者均接受高剂量甲氨蝶呤、伊布替尼和替莫唑胺(MIT)治疗方案。研究分别采集患者在治疗前的组织标本和脑脊液样本,以及每两个MIT治疗疗程脑脊液(CSF)样本,通过世和血默胜™大Panel进行NGS测序,同时进行影像学评估。
图1. 研究方案设计
研究结果:
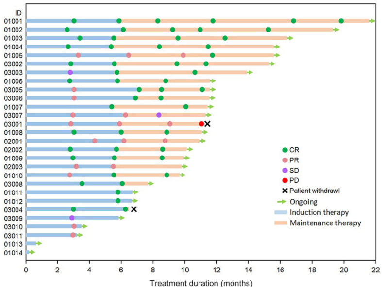
1、MIT方案一线治疗PCNSL患者,ORR达94%,毒性可控
33例患者中5例(15%)合并眼部受累,25例(76%)有多发性脑病灶。最佳客观缓解率(ORR)为94%,完全缓解率(CRR)为73%。中位随访时间为17.5个月(5.8-21.3个月),33名患者1年PFS为66.4%(95% CI:58.1-74.7%),总生存率(OS)为90.5%(95% CI:85.2-95.8%)。其中23例在6个疗程的诱导治疗后接受了伊布替尼维持,临床研究仍在进行中。治疗相关毒性在可接受范围内,包括中性粒细胞减少、血小板减少、轻度硬膜下血肿、心房颤动等,其中2名硬膜下血肿患者暂停伊布替尼后康复。无观察到真菌感染和治疗相关死亡。
图2. MIT方案一线治疗PCNSL患者的疗效(A)和生存分析(B)
2、动态脑脊液ctDNA帮助PCNSL患者预测预后,早期清零患者拥有更好的PFS
治疗期间,研究对30名患者进行脑脊液ctDNA检测。基线组织和/或脑脊液样本的突变谱显示,整个队列中75.9%和65.5%存在PIM1和MYD88突变,其次是BTG2(55.2%)和CD79B(51.7%)。
图3. 肿瘤组织和脑脊液的基因突变图谱
对MIT治疗期间接受动态CSF ctDNA监测的患者进行分析发现,脑脊液/血浆样本中ctDNA清除率与影像学完全缓解一致。经过2个疗程的MIT治疗,脑脊液中ctDNA清零患者的PFS更好。
图4. CSF ctDNA清零患者生存期长
研究结论:
新型MIT治疗新诊断PCNSL患者取得了令人鼓舞的生存结果,且毒性可接受。脑脊液中ctDNA的早期清除提示良好的远期生存。
结语
世和基因在血液淋巴系统肿瘤诊疗领域,首创国内基于DNA和RNA的靶向检测套餐,精准揭示亚型遗传变异,助力临床诊断与个性化治疗。公司自研ATG-SEQ专利技术和房水cfDNA专利提取技术,确保特殊体液样本中ctDNA检测的灵敏度和准确性。通过多轮技术升级,世和基因的液体活检技术在血液系统肿瘤的分子分型、预后分层、疗效评估以及复发监测中体现出重要的临床应用价值。
自2016年推出血液系统肿瘤NGS检测项目以来,世和基因已建立完善的血液系统肿瘤产品管线,深入合作国内顶尖血液专家,开展逾百项研究并产出40余篇学术论文,充分验证技术实力与临床应用价值。世和愿携手更多临床专家,推进基因检测新技术在血液肿瘤领域的临床转化,为患者提供更多优质高效的精准诊疗服务。
作者:Martian、青藤、格格 审核:螺旋大麻花
世和基因连续9年参与ESMO、AACR、ASCO、WCLC和ASTRO等国际大型会议,迄今已中稿超200项研究成果:
【ESMO 2023】口头报告和壁报:世和基因四项研究成果大盘点
【ASTRO 2023】ctDNA及bTMB可预测NSCLC根治性放化疗获益
【WCLC 2023】世和基因10项创新成果全面助力肺癌精准诊疗
【ASCO 2023】世和基因8项研究助力肿瘤全周期精准治疗