新闻中心

世和学术 | 血浆ctDNA可预测复发难治弥漫大B细胞淋巴瘤P-ICE治疗疗效


微信图片_20230704181811

导语


弥漫大B细胞淋巴瘤(DLBCL)是最常见的非霍奇金淋巴瘤(NHL)亚型,约占我国所有淋巴瘤病例数的40.1%。近年来,R-CHOP(利妥昔单抗+环磷酰胺+阿霉素+长春新碱+泼尼松)作为DLBCL标准一线方案已经改善了大多数患者的生存状况。然而,仍有大约40%的患者在初始治疗后进展为复发/难治性弥漫大B细胞淋巴瘤(R/R DLBCL),预后较差。针对R/R DLBCL患者的后续治疗,单纯ICE方案(异环磷酰胺+卡铂+依托泊苷)疗效有限。因DLBCL可以通过上调程序性细胞死亡配体1(PD-L1)来逃避免疫监视[1],故免疫检查点抑制剂PD-1单抗联合ICE方案(P-ICE)或可改善R/R DLBCL患者生存。因此,临床迫切需要证实P-ICE方案的有效性并探索其疗效预测标志物。


中山大学肿瘤防治中心黄慧强教授团队与世和基因合作,基于血默胜™大Panel检测,为P-ICE方案应用于R/R DLBCL患者提供了有效性和安全性证据。同时也表明,血浆ctDNA动态监测可提示R/R DLBCL患者P-ICE治疗疗效。该研究成果已于近日发表在Annals of Hematology。


专家简介

微信图片_20230704181819

黄慧强 教授

中山大学肿瘤防治中心大内科副主任



  • 中国老年健康协会淋巴瘤专业委员会主委

  • 中国老年保健协会理事

  • CSCO中国抗淋巴瘤联盟副主席

  • CSCO甲状腺癌专委会荣誉主委

  • 中国抗癌协会淋巴瘤专业委员会副主委

  • 中国抗癌协会淋巴瘤专业委员会青年委员会主委

  • 广东省抗癌协会血液肿瘤专业委员会名誉主委

  • 广东省中西医结合学会血液病专业委员会副主委

  • 中国抗癌协会第二届血液病转化医学专业委员会常务委员


研究亮点


1. 研究表明P-ICE方案是对R/R DLBCL患者有效且耐受性良好的挽救性方案,最佳客观缓解率(ORR)和完全缓解率(CRR)分别高达62.7%和43.3%,且安全性可控。


2. 研究证实P-ICE治疗前患者血浆ctDNA浓度及maxVAF均与治疗响应相关,且治疗过程中ctDNA浓度下降者无进展生存期(PFS)和总生存期(OS)皆显著更长。以上证明了ctDNA动态监测在R/R DLBCL患者疗效预测方面的重要价值。


研究结果


P-ICE方案在R/R DLBCL患者中具有良好的抗肿瘤活性


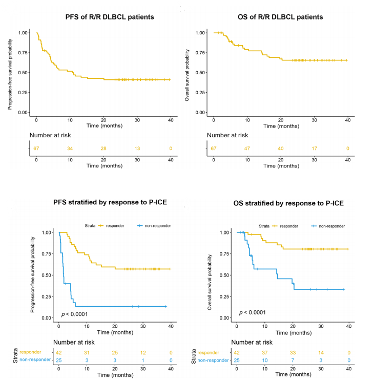
本研究回顾性纳入了2019年2月至2020年5月在中山大学肿瘤防治中心就诊的67例R/R DLBCL患者,所有患者每3周接受一次标准P-ICE方案,其中的PD-1抑制剂包括信迪利单抗(N=35例)、卡瑞利珠单抗(N=25例)、特瑞普利单抗(N=6例)和帕博利珠单抗(N=1例)。患者中位年龄54岁,59.7%(N=40例)经一线化疗后复发,其余40.3%(N=37例)对一线化疗无效。中位随访时间24.7个月(1.4-39.6个月),最佳ORR和CRR分别高达62.7%和43.3%,两年PFS率和OS率分别为41.1%(95% CI: 35.0–47.2%)和65.6%(95% CI: 59.5–71.7%)。此外,研究还发现,对P-ICE治疗响应患者的PFS和OS均显著优于无响应患者(图1)。


微信图片_20230704181823

图1. 经P-ICE治疗的R/R DLBCL患者生存分析



年龄、复发/难治及对P-ICE治疗响应与否是PFS的独立预后因素


为了进一步探索P-ICE治疗的预测标志物,研究首先基于常见临床特征对PFS进行了单因素分析。结果显示,≤60岁、Ann Arbor分期Ⅰ-Ⅱ及IPI评分0-2均与较长的PFS显著相关(图2A-C),一线化疗后复发患者的PFS也相对化疗无效患者显著延长(图2D)。经多因素Cox回归分析发现,年龄、复发/难治和对P-ICE治疗响应与否是PFS的独立预后因素(表1)。


微信图片_20230704181828

图2. 不同临床特征R/R DLBC患者经P-ICE治疗的PFS分析

微信图片_20230704181832

表1. PFS的多因素Cox回归分析



基线ctDNA浓度、maxVAF,以及治疗前后ctDNA动态变化皆可提示P-ICE治疗疗效


对部分患者的基线组织及P-ICE治疗前血浆样本进行世和基因血默胜™大Panel检测,组织和血浆阳性率分别为89.3%(25/28例)和87%(20/23例)。进一步分析发现,对P-ICE治疗响应的患者,其治疗前血浆ctDNA浓度(p=0.0058)和血浆maxVAF(p=0.024)皆显著低于无响应患者(图3),BCL6 突变患者PFS相较于野生型患者显著缩短(p=0.006),但BCL6 突变状态与OS并非显著相关(图4)。此外,本研究还对其中10例患者P-ICE治疗两个周期后的血浆ctDNA进行NGS检测。结果发现,治疗两个周期后ctDNA浓度相对于基线降低的患者,其PFS(p = 0.044)和OS(p=0.033)皆显著长于ctDNA浓度上升患者(图5)。这说明对R/R DLBCL患者P-ICE治疗过程中血浆ctDNA进行动态监测可有效预测生存。


微信图片_20230704181840

图3. 治疗前血浆ctDNA浓度及maxVAF与对治疗的响应状态相关

微信图片_20230704181843

图4. BCL6 突变状态与患者生存的相关性分析

微信图片_20230704181845

图5. 治疗过程中血浆ctDNA变化与患者生存显著相关


结语


当前,R/R DLBCL患者经ICE治疗疗效有限。本回顾性研究证实了添加PD-1抑制剂的P-ICE方案治疗R/R DLBCL患者的有效性和安全性,为复发/难治患者提供了一种有前景的治疗选择。此外,该研究还探索了P-ICE治疗的预后标志物,除年龄等临床特征与PFS显著相关外,患者基线血浆ctDNA浓度、maxVAF和治疗过程中ctDNA早期变化亦与患者对治疗的响应及生存相关,这将为临床评估患者生存结局,选择更为有效的治疗方案提供可靠依据。


参考文献

[1] Pascual M, Mena-Varas M, Robles EF, et al. PD-1/PD-L1 immune checkpoint and p53 loss facilitate tumor progression in activated B-cell diffuse large B-cell lymphomas. Blood. 2019;133(22):2401-2412.

[2] Ping L, Gao Y, He Y, et al. PD-1 blockade combined with ICE regimen in relapsed/refractory diffuse large B-cell lymphoma [published online ahead of print, 2023 Jun 12]. Ann Hematol. 2023;10.1007/s00277-023-05292-5.


作者:趣知      审核:硬核小仙女       排版:Moro


相关阅读

世和基因与中山大学肿瘤防治中心合作研究成果:

【IF=23】携手徐瑞华教授团队:ctDNA动态监测揭示晚期BRAF V600E突变结直肠癌VIC耐药机制

【IF=13】携手黄欣教授团队:基于宫颈癌基因组谱探索免疫联合治疗新型生物标志物

【IF=11】携手陈丽昆教授团队:脑脊液ctDNA更精准监测肺癌脑转移颅内疗效及预测预后

【IF=11】携手黄慧强教授团队:首次报道房水ctDNA在诊断监测玻璃体视网膜淋巴瘤中的临床价值